みなさんこんにちは。筑紫修学館春日白水校の後藤です。
今日は「前回のクイズの正解と次回のクイズ」についてです。

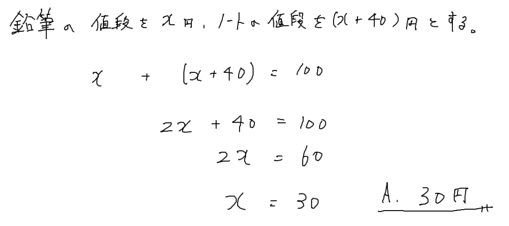
前回のクイズ正解発表!

答えはわかりましたか?
正解は

ということでしたー。
みなさん、できましたか。
今週は計算クイズでした。
クイズというかふつうに算数・数学の問題だったのですが、直感的に考えると「40円」と答えてしまいませんでしたか?
きちんと計算すると以下のようになります。

このように算数・数学としてしっかり計算したら、問題なく解けると思います。
しかし「合計100円」、「40円安い」など文章だけをそのまま読んでしまうと、「100-40=60だから60円と40円だ」としてしまうミスが多くなってしまうという問題でした。
算数・数学の文章題が苦手な人はぜひこの問題を教訓にして、問題文の意味をしっかり読み取ってから考えるということを意識してみてくださいね。

【今週のクイズ】
それでは今週のクイズです。

今週は謎解きクイズです。
意味がわからないと思った人は、問題文で言われた通りのことをしてみてください。
きっと答えが見えてくると思いますよ!
ぜひ考えてみてください。
答えは12/9発表予定!
============================================
〈 イベント情報一覧 〉
1. 最新季節講習
筑修の季節講習はココがすごい!!
① 通塾とオンライン授業の切り替えが自由自在!!
② 日程・時間帯の選択が自由自在!!
③ カリキュラムは一人ひとりに合わせて作成!!

2. 自習室大開放
大好評の自習室を大開放することにしました!
受験生をはじめ多くの生徒が学習スペースとして使用しています。
家ではなかなか勉強ができないそこのキミ!!
ぜひ筑紫修学館の自習室に勉強しに来てくださいね。
【場所】筑紫修学館 春日白水校
【対象】小学生~高校生
【費用】無料
くわしい開放日時はお問い合わせください!

3. 2週間の無料体験
筑修の無料体験のポイント!!
① 時間と日程が選べる!
② 習い事や部活があっても無理なく両立可能!
③ 一人ひとりに合わせた学習・5教科対応!

===========================================
〈 筑紫修学館Instagram 〉
筑紫修学館公式Instagram始めました!! → https://www.instagram.com/chikushishugakukan/

===========================================
〈 筑紫修学館 コース紹介 〉
【小学生】
https://www.ganbari.com/elementary/

【中学生】
https://www.ganbari.com/junior-high/

【高校生】

【オンライン】
https://www.ganbari.com/wakaru-live/

===========================================
〈 最新受験情報 〉
筑紫修学館HPに「最新受験情報」というリンクがあります。
中学・高校・大学と随時作成アップロード中ですのでぜひご確認ください!

最新受験情報URL https://www.ganbari.com/exam-information
===========================================
〈 ブログ 過去記事 〉
人気記事
受験関連記事
【高校受験】『令和8年度特色化選抜』~日程と第5学区各高校の募集人員・内定基準~
【高校受験】『令和8年度特色化選抜』~受け入れに関する方針・昨年との違い・ その他~
【2024特色化選抜】各高校の面接・作文内容をまとめました!(春日・福翔・武蔵台・柏陵・博多工業)
最新記事
11/25 【クイズ】漢字も計算もなんでもクイズにできちゃいます!
28 【コアゼミ】大好評の「コアゼミの利便性」!ぜひ体験してみてください!
===========================================
〈 春日白水校 校舎情報 〉

筑紫修学館春日白水校には一人ひとりの目標に合う様々なコースがあります。
志望校合格、定期テスト・通知表成績up、学習習慣定着などそれぞれの目標に向けて講師一同、毎日全力で指導しています。
校舎見学や体験受講は随時受け付けています。
対面ではもちろん、LINEでお話ししたり、Zoomでご相談に応じることも可能です。
新たなアプリを入れる必要はなく、お使いのもので大丈夫ですので可能なものをお使いください。
お問い合わせはこちらまで↓↓↓
〒816-0844
春日市上白水1‐40 PALX375 2F
TEL:092-582-8990
春日西小学校から徒歩1分、春日西中学校から徒歩3分のところにあります。

LINEでのお問い合わせはこちら↓↓↓お気軽にどうぞ!





























